Authors: Caddick, Z. A., Rottman, B. M.
Lab: Causal Learning and Decision Making Lab
Paper Citation: Caddick, Z.A., Rottman, B.M. (2021). Motivated reasoning in an explore-exploit task. Cognitive Science, 45(8), e13018. doi:10.1111/cogs.13018
For help or more information contact [email protected].
Note: Due to the complexity of the data and sheer volume of analyses conducted, we follow the organization presented in the published paper and organized the datasets and R scripts by analysis.
3.2.1.1 Switching Multiple Policies to the Preferred Option at the Beginning of Learning (Table 1, Figures 4 and 5).
Counts of Testing Instances by Type (Table 1) & Number of controlled and confounded changes to policies per trial (Figure 4). {R script, data (.csv)}
Number of Trials Until Testing by Preference (Figure 5). {R script, data (.csv)}
3.2.1.2 Changing a Policy and Holding others Stable for Periods of Time (Table 2). {R script, data (.csv)}
3.2.1.3 Never Testing Bias by Preference (Figure 6). {R script, data (.csv)}
3.2.1.4 Percent of Trials During which the Preferred Option Was Selected (Figure 7). {R script, data (.csv)}
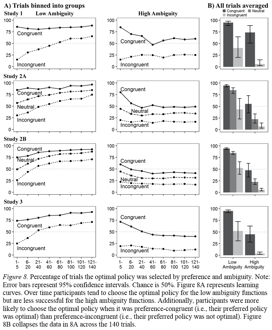
3.2.1.5 Percent of Trials the Optimal Policy was Selected by Preference (Figure 8). {R script, data (.csv)}
3.2.2.1 Causal Functions (Figure 9). {R script, data (.csv)}
3.2.2.2 Non-Causal Functions (Figure 10). {R script, data (.csv)}
3.2.3.1 Causal Functions (Table 3). {R script, data (.csv)}
3.2.3.2 Non-Causal Functions (Table 4). {R script, data (.csv)}
4.2.1.1 Switching Multiple Policies to the Preferred Option at the Beginning of Learning (Table 1, Figures 4 and 5).
Counts of Testing Instances by Type (Table 1). & Number of controlled and confounded changes to policies per trial (Figure 4). {R script, data (.csv)}
Number of Trials Until Testing by Preference (Figure 5). {R script, data (.csv)}
4.2.1.2 Changing a Policy and Holding others Stable for Periods of Time (Table 2). {R script, data (.csv)}
4.2.1.3 Never Testing Bias by Preference (Figure 6). {R script, data (.csv)}
4.2.1.4 Percent of Trials During which the Preferred Option Was Selected (Figure 7). {R script, data (.csv)}.
4.2.1.5 Percent of Trials the Optimal Policy was Selected by Preference (Figure 8). {R script, analysis 1 data (.csv), analysis 2 data (.csv)}
4.2.2.1 Causal Functions (Figure 9). {R script, data (.csv)}
4.2.2.2 Non-Causal Function (Figure 10). {R script, data (.csv)}
4.2.3.1 Causal Functions (Table 3). {R script, data (.csv)}
4.2.3.2 Non-Causal Functions (Table 4). {R script, data (.csv)}
4.2.1.1 Switching Multiple Policies to the Preferred Option at the Beginning of Learning (Table 1, Figures 4 and 5).
Counts of Testing Instances by Type (Table 1). & Number of controlled and confounded changes to policies per trial (Figure 4). {R script, data (.csv)}
Number of Trials Until Testing by Preference (Figure 5). {R script, data (.csv)}
4.2.1.2 Changing a Policy and Holding others Stable for Periods of Time (Table 2). {R script, data (.csv)}
4.2.1.3 Never Testing Bias by Preference (Figure 6). {R script, data (.csv)}
4.2.1.4 Percent of Trials During which the Preferred Option Was Selected (Figure 7). {R script, data (.csv)}
4.2.1.5 Percent of Trials the Optimal Policy was Selected by Preference (Figure 8). {R script, analysis 1 data (.csv), analysis 2 data (.csv)}
4.2.2.1 Causal Functions (Figure 9). {R script, data (.csv)}
4.2.2.2 Non-Causal Function (Figure 10). {R script, data (.csv)}
4.2.3.1 Causal Functions (Table 3). {R script, data (.csv)}
4.2.3.2 Non-Causal Functions (Table 4). {R script, data (.csv)}
5.2.1.1 Switching Multiple Policies to the Preferred Option at the Beginning of Learning (Table 1, Figures 4 and 5).
Counts of Testing Instances by Type (Table 1). & Number of controlled and confounded changes to policies per trial (Figure 4). {R script, data (.csv)}
Number of Trials Until Testing by Preference (Figure 5). {R script, data (.csv)}
5.2.1.2 Changing a Policy and Holding others Stable for Periods of Time (Table 2). {R script, data (.csv)}
5.2.1.3 Never Testing Bias by Preference (Figure 6). {R script, data (.csv)}
5.2.1.4 Percent of Trials During which the Preferred Option Was Selected (Figure 7). {R script, data (.csv)}
5.2.1.5 5 Percent of Trials the Optimal Policy was Selected by Preference (Figure 8). {R script, data (.csv)}
5.2.2.1 Causal Functions (Figure 9). {R script, data (.csv)}
5.2.2.2 Non-Causal Functions (Figure 10). {R script, data (.csv)}
5.2.3.1 Causal Functions (Table 3). {R script, data (.csv)}
5.2.3.2 Non-Causal Functions (Table 4). {R script, data (.csv)}













